Официальное опубликование правовых актов
ОФИЦИАЛЬНОЕ ОПУБЛИКОВАНИЕ
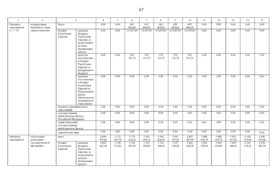
Постановление Правительства Республики Карелия от 30.06.2021 № 254-П
"О внесении изменений в постановление Правительства Республики Карелия от 9 апреля 2015 года № 118-П"
Номер опубликования: 1000202107010010
Дата опубликования: 01.07.2021
Страница №67 из 68:
Увеличить