Официальное опубликование правовых актов
ОФИЦИАЛЬНОЕ ОПУБЛИКОВАНИЕ
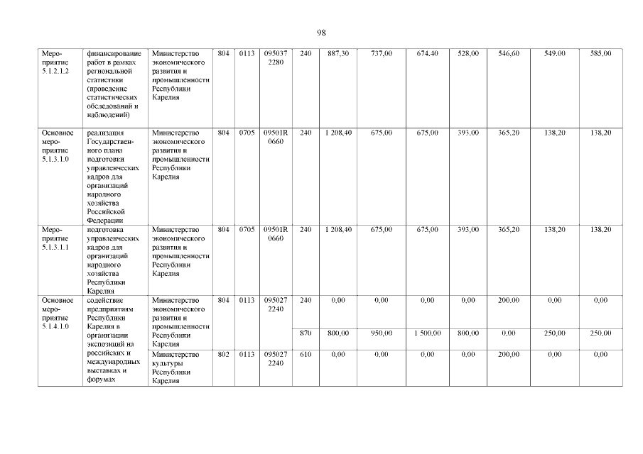
Постановление Правительства Республики Карелия от 21.11.2018 № 432-П
"О внесении изменения в постановление Правительства Республики Карелия от 3 марта 2014 года № 49-П"
Номер опубликования: 1000201811220007
Дата опубликования: 22.11.2018
Страница №98 из 113:
Увеличить