Официальное опубликование правовых актов
ОФИЦИАЛЬНОЕ ОПУБЛИКОВАНИЕ
Постановление Правительства Республики Карелия от 05.09.2016 № 343-П
"О внесении изменений в постановление Правительства Республики Карелия от 2 июня 2014 года № 169-П"
Номер опубликования: 1000201609130001
Дата опубликования: 13.09.2016
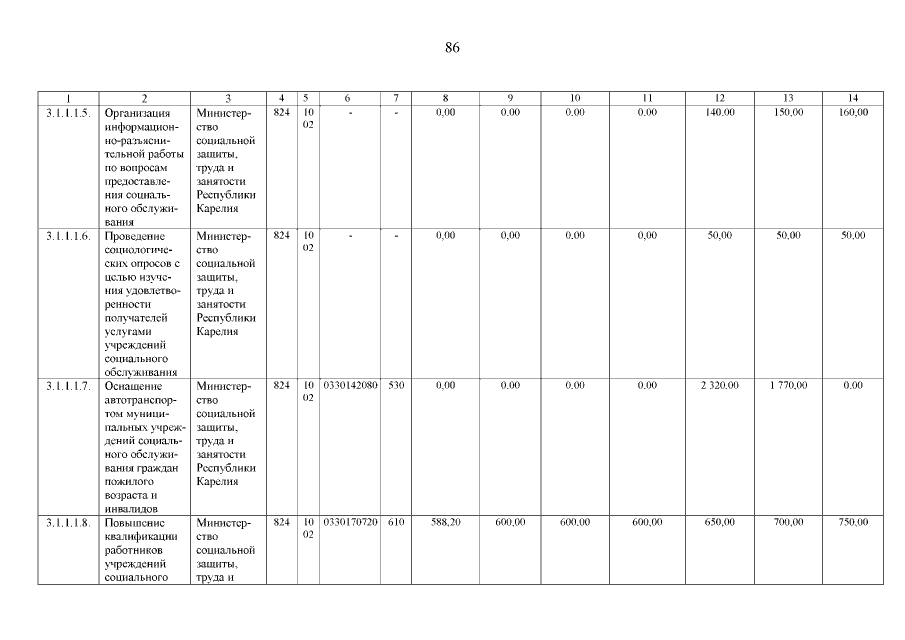
Страница №86 из 102:
Увеличить