Официальное опубликование правовых актов
ОФИЦИАЛЬНОЕ ОПУБЛИКОВАНИЕ
Постановление Правительства Республики Карелия от 26.08.2016 № 329-П
"О внесении изменений в постановление Правительства Республики Карелия от 23 апреля 2014 года № 129-П"
Номер опубликования: 1000201608300001
Дата опубликования: 30.08.2016
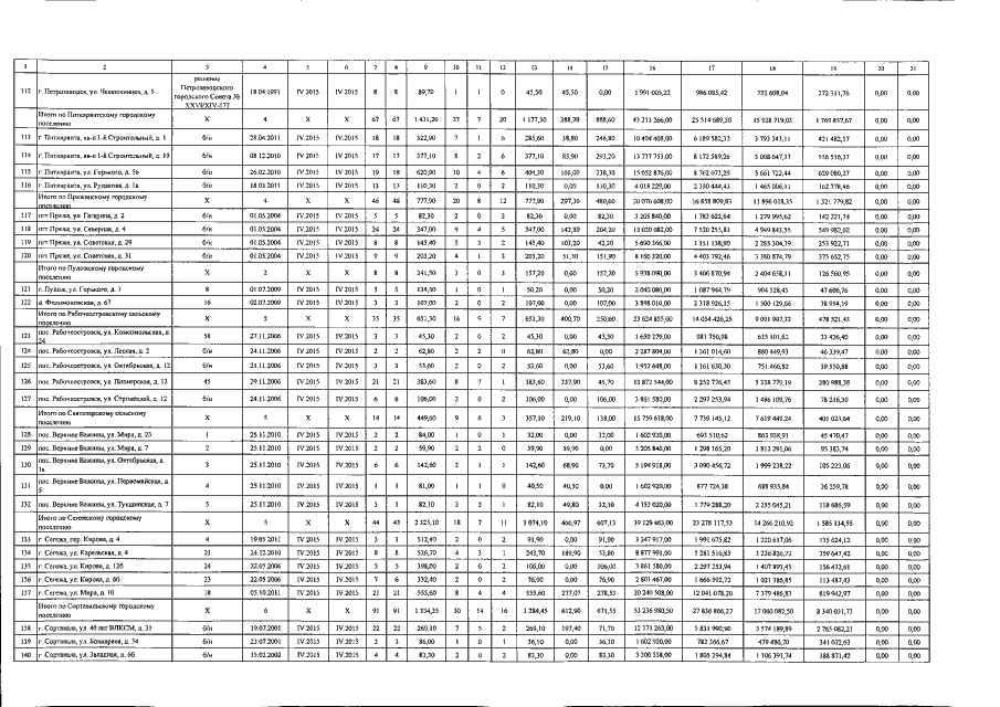
Страница №8 из 43:
Увеличить