Официальное опубликование правовых актов
ОФИЦИАЛЬНОЕ ОПУБЛИКОВАНИЕ
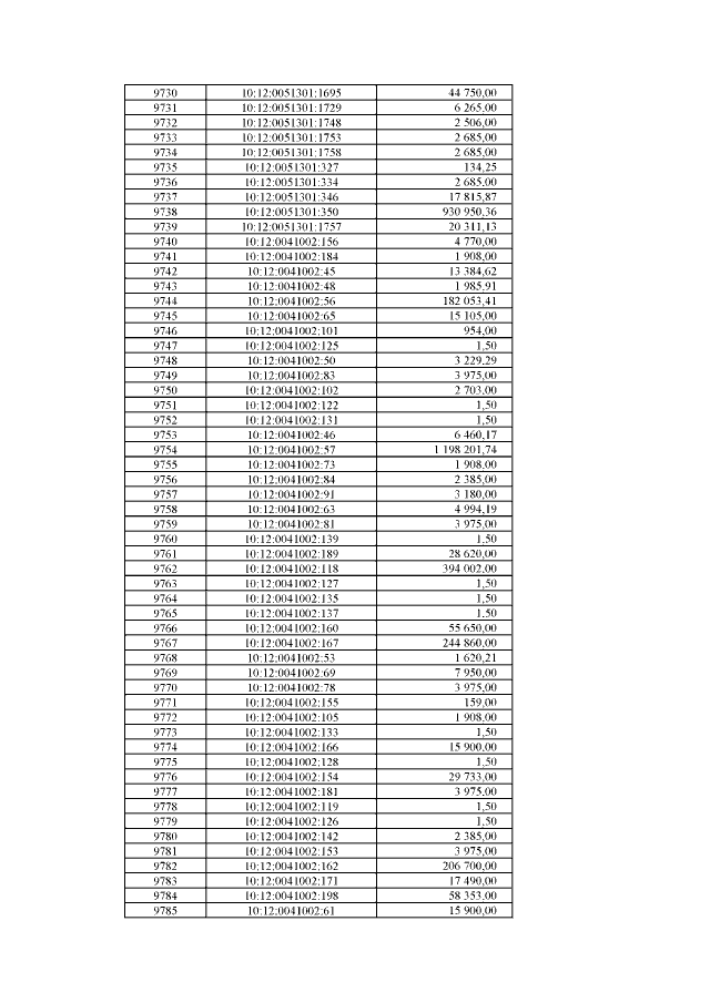
Постановление Правительства Республики Карелия от 15.01.2015 № 5-П
"Об утверждении результатов определения кадастровой стоимости земельных участков в составе земель сельскохозяйственного назначения на территории Республики Карелия"
Номер опубликования: 1000201501190001
Дата опубликования: 19.01.2015
Страница №176 из 574:
Увеличить