Официальное опубликование правовых актов
ОФИЦИАЛЬНОЕ ОПУБЛИКОВАНИЕ
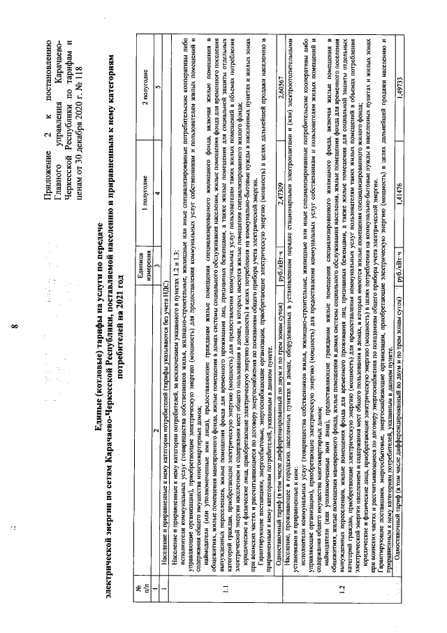
Постановление Главного Управления Карачаево-Черкесской Республики по тарифам и ценам от 30.12.2020 № 118
"Об установлении тарифов на услуги по передаче электрической энергии и мощности по региональным сетям Карачаево-Черкесской Республики на 2021 год"
Номер опубликования: 0901202012300003
Дата опубликования: 30.12.2020
Страница №8 из 11:
Увеличить