Официальное опубликование правовых актов
ОФИЦИАЛЬНОЕ ОПУБЛИКОВАНИЕ
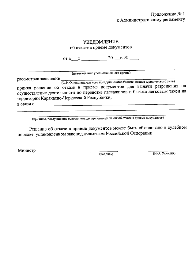
Приказ Министерства промышленности и торговли Карачаево-Черкесской Республики от 16.01.2020 № 2-общ
"Об утверждении Административного регламента предоставления Министерством промышленности и торговли Карачаево-Черкесской Республики государственной услуги по выдаче и переоформлению разрешений на осуществление деятельности по перевозке пассажиров и багажа легковым такси на территории Карачаево-Черкесской Республики"
Номер опубликования: 0901202001210001
Дата опубликования: 21.01.2020
Страница №28 из 36:
Увеличить