Официальное опубликование правовых актов
ОФИЦИАЛЬНОЕ ОПУБЛИКОВАНИЕ
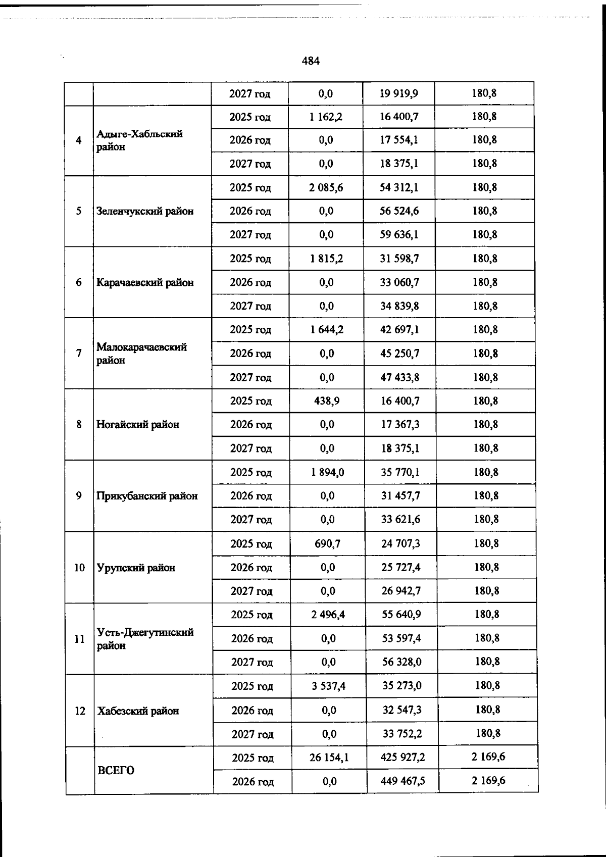
Закон Карачаево-Черкесской Республики от 29.12.2025 № 92-РЗ
"О внесении изменений в Закон Карачаево-Черкесской Республики "О республиканском бюджете Карачаево-Черкесской Республики на 2025 год и на плановый период 2026 и 2027 годов"
Номер опубликования: 0900202512300014
Дата опубликования: 30.12.2025
Страница №484 из 495:
Увеличить