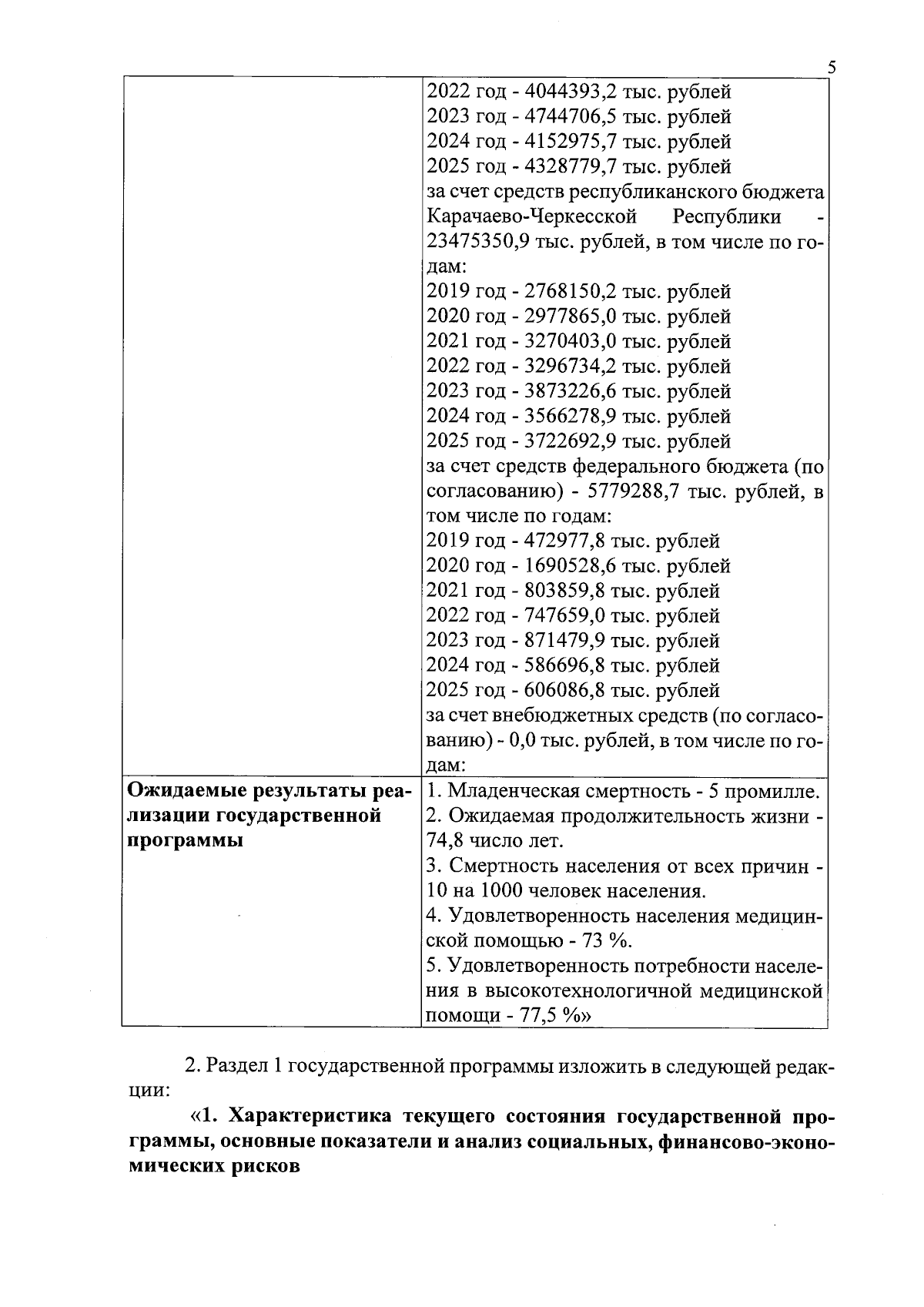
Постановление Правительства Карачаево-Черкесской Республики от 26.06.2024 № 128
"О внесении изменений в постановление Правительства Карачаево-Черкесской Республики от 22.01.2019 № 16 "Об утверждении государственной программы "Развитие здравоохранения в Карачаево-Черкесской Республике"
"О внесении изменений в постановление Правительства Карачаево-Черкесской Республики от 22.01.2019 № 16 "Об утверждении государственной программы "Развитие здравоохранения в Карачаево-Черкесской Республике"
Номер опубликования: 0900202407030001
Дата опубликования:
03.07.2024
