Официальное опубликование правовых актов
ОФИЦИАЛЬНОЕ ОПУБЛИКОВАНИЕ
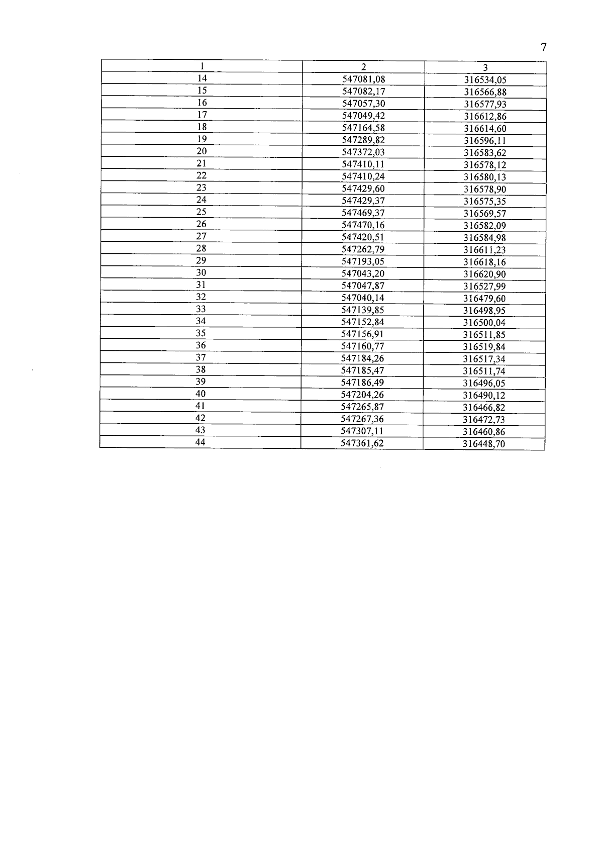
Постановление Правительства Карачаево-Черкесской Республики от 20.03.2024 № 32
"Об установлении объединенной зоны охраны объектов культурного наследия федерального значения "Музей-памятник защитникам перевалов Кавказа, XX в.", 1967-1968 гг., расположенного по адресу: Карачаево-Черкесская Республика, Карачаевский район, южная окраина аула Кумыш, слева от ФАД на Домбай, справа от ФАД на Домбай и регионального значения "Могила неизвестного солдата, погибшего в 1942 году", 1942 г., расположенного по адресу: Карачаево-Черкесская Республика, Карачаевский городской округ, пос. Орджоникидзевский и особого режима использования земель и земельных участков, требований к градостроительным регламентам в границах территорий данных зон"
Номер опубликования: 0900202403250008
Дата опубликования: 25.03.2024
Страница №9 из 19:
Увеличить