Официальное опубликование правовых актов
ОФИЦИАЛЬНОЕ ОПУБЛИКОВАНИЕ
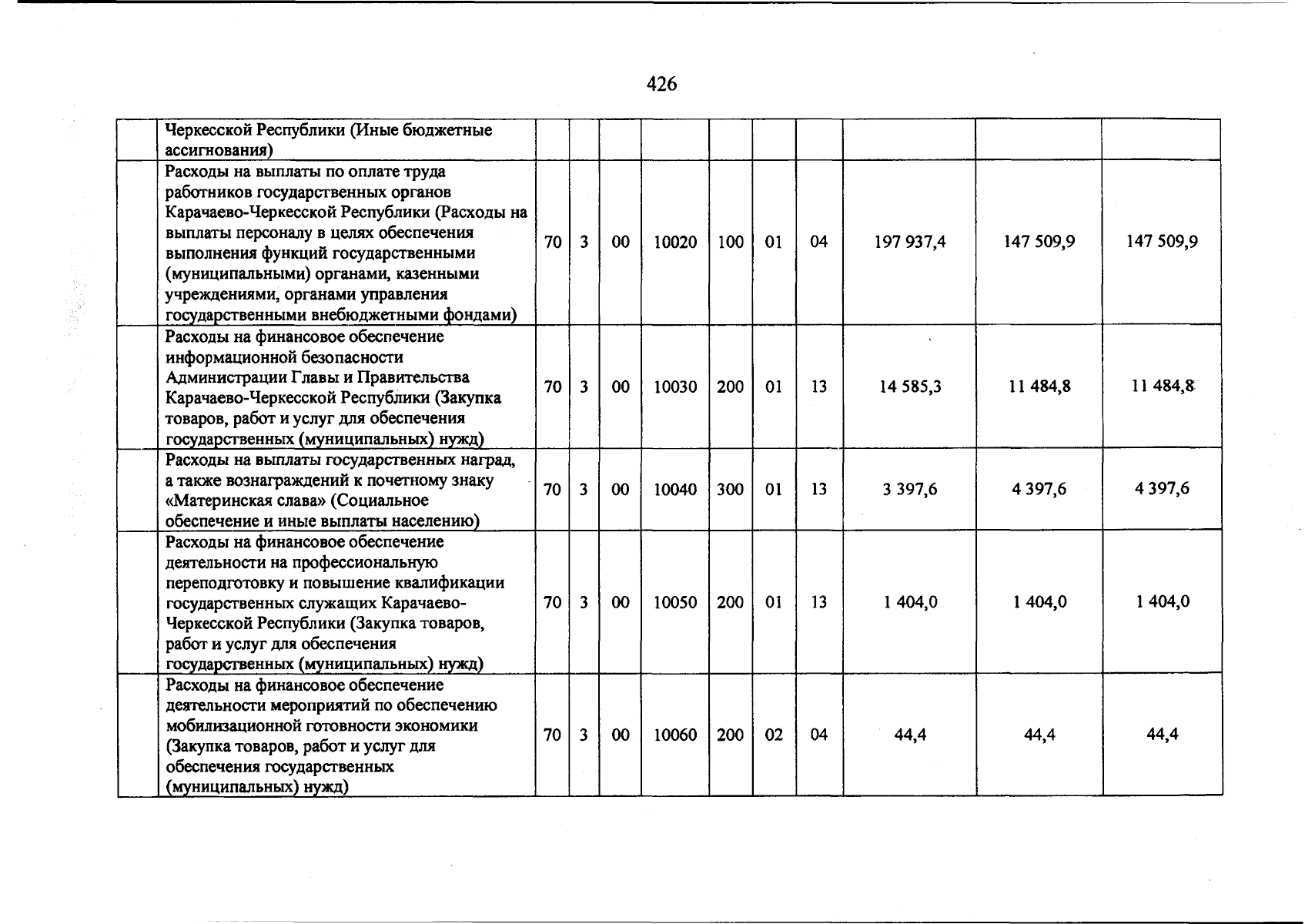
Закон Карачаево-Черкесской Республики от 07.11.2023 № 66-РЗ
"О внесении изменений в закон Карачаево-Черкесской Республики "О республиканском бюджете Карачаево-Черкесской Республики на 2023 год и на плановый период 2024 и 2025 годов"
Номер опубликования: 0900202311090013
Дата опубликования: 09.11.2023
Страница №426 из 483:
Увеличить