Официальное опубликование правовых актов
ОФИЦИАЛЬНОЕ ОПУБЛИКОВАНИЕ
Постановление Правительства Карачаево-Черкесской Республики от 02.08.2023 № 211
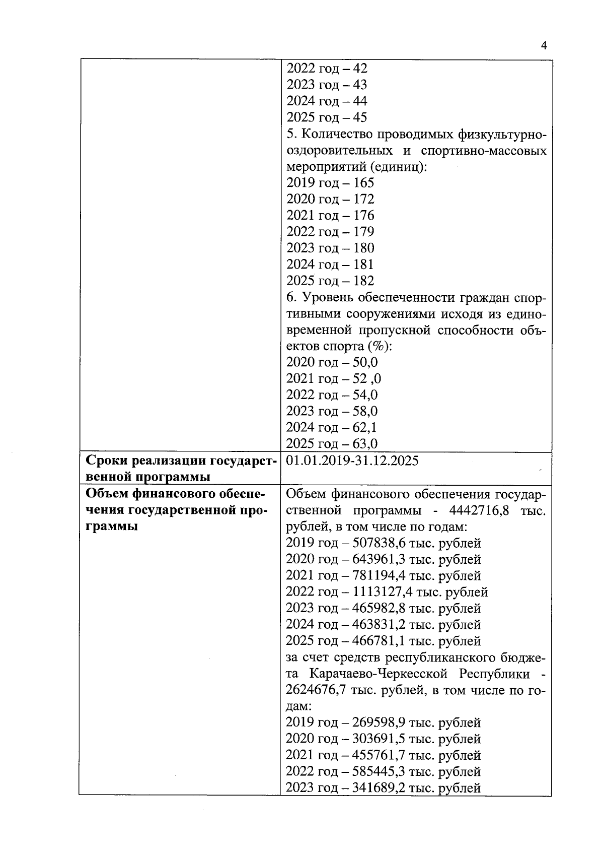
"О внесении изменений в постановление Правительства Карачаево-Черкесской Республики от 06.02.2019 № 43 "О государственной программе "Развитие физической культуры и спорта в Карачаево-Черкесской Республике"
Номер опубликования: 0900202308110003
Дата опубликования: 11.08.2023
Страница №4 из 63:
Увеличить