Официальное опубликование правовых актов
ОФИЦИАЛЬНОЕ ОПУБЛИКОВАНИЕ
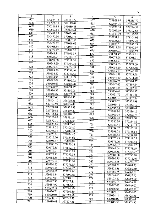
Постановление Правительства Карачаево-Черкесской Республики от 19.07.2023 № 180
"Об утверждении Положения о государственном зоологическом заказнике-резервате республиканского значения "Хасаутский" и его границ"
Номер опубликования: 0900202307240003
Дата опубликования: 24.07.2023
Страница №16 из 27:
Увеличить