Официальное опубликование правовых актов
ОФИЦИАЛЬНОЕ ОПУБЛИКОВАНИЕ
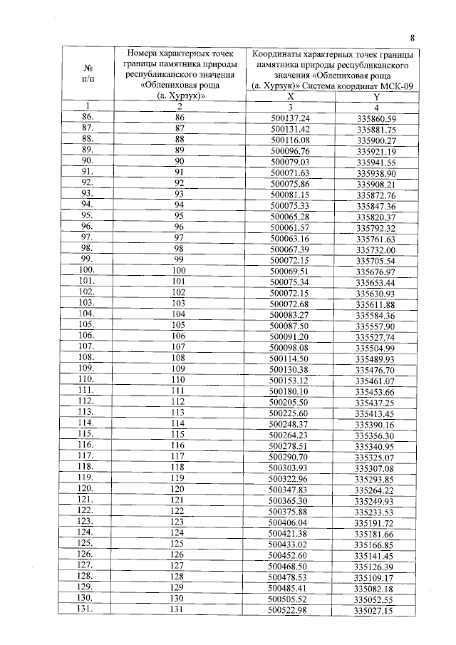
Постановление Правительства Карачаево-Черкесской Республики от 30.06.2023 № 167
"О внесении изменений в постановление Правительства Карачаево-Черкесской Республики от 23.12.2021 № 110 "Об утверждении Положений о памятниках природы республиканского значения Карачаево-Черкесской Республики"
Номер опубликования: 0900202307030004
Дата опубликования: 03.07.2023
Страница №18 из 357:
Увеличить