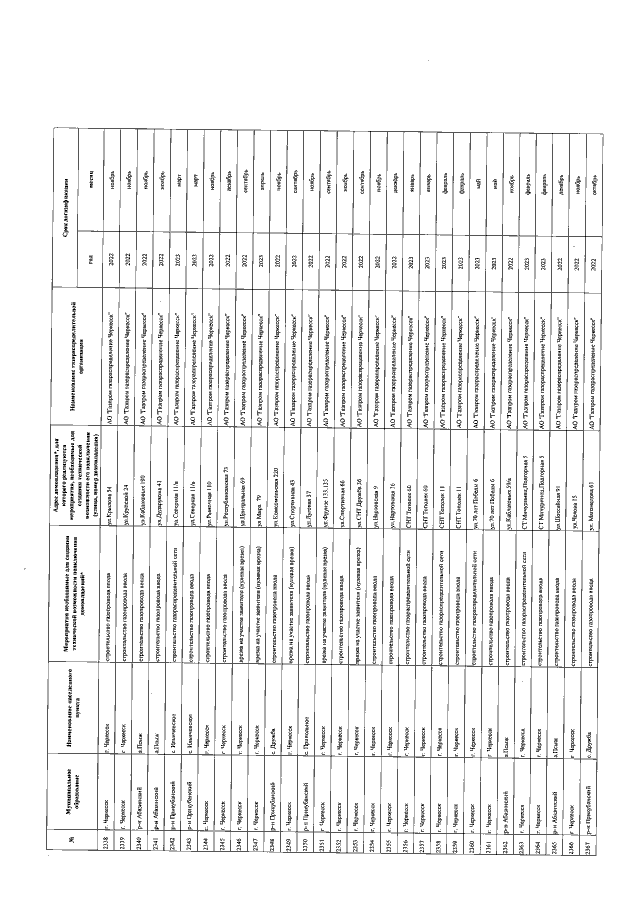
Постановление Правительства Карачаево-Черкесской Республики от 11.04.2023 № 87
"О внесении изменений в постановление Правительства Карачаево-Черкесской Республики от 01.02.2022 № 8 "Об утверждении региональной программы газификации Карачаево-Черкесской Республики на 2021-2030 годы"
"О внесении изменений в постановление Правительства Карачаево-Черкесской Республики от 01.02.2022 № 8 "Об утверждении региональной программы газификации Карачаево-Черкесской Республики на 2021-2030 годы"
Номер опубликования: 0900202304170012
Дата опубликования:
17.04.2023
