Официальное опубликование правовых актов
ОФИЦИАЛЬНОЕ ОПУБЛИКОВАНИЕ
Постановление Правительства Карачаево-Черкесской Республики от 02.02.2023 № 21
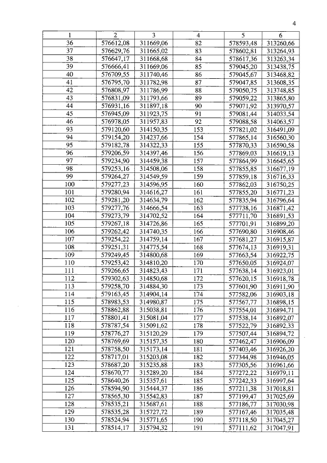
"О внесении изменения в постановление Правительства Карачаево-Черкесской Республики от 29.10.2020 № 239 "Об утверждении Положения о государственном зоологическом заказнике-резервате республиканского значения "Эльбурганский" и его границ"
Номер опубликования: 0900202302100004
Дата опубликования: 10.02.2023
Страница №5 из 15:
Увеличить