Официальное опубликование правовых актов
ОФИЦИАЛЬНОЕ ОПУБЛИКОВАНИЕ
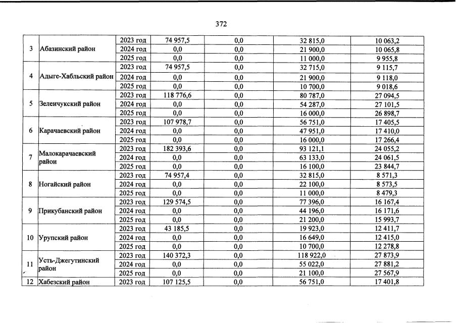
Закон Карачаево-Черкесской Республики от 29.12.2022 № 98-РЗ
"О республиканском бюджете Карачаево-Черкесской Республики на 2023 год и на плановый период 2024 и 2025 годов"
Номер опубликования: 0900202212300002
Дата опубликования: 30.12.2022
Страница №372 из 389:
Увеличить