Официальное опубликование правовых актов
ОФИЦИАЛЬНОЕ ОПУБЛИКОВАНИЕ
Постановление Правительства Карачаево-Черкесской Республики от 01.06.2022 № 159
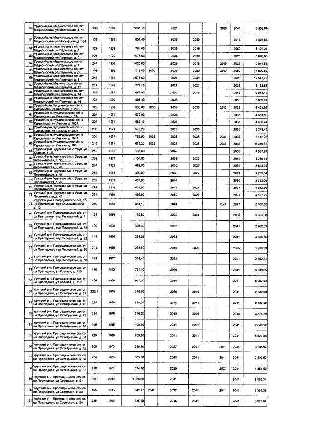
"О внесении изменений в постановление Правительства Карачаево-Черкесской Республики от 31.03.2014 № 76 "Об утверждении республиканской программы "Капитальный ремонт общего имущества в многоквартирных домах на территории Карачаево-Черкесской Республики на 2014-2050 годы"
Номер опубликования: 0900202206030003
Дата опубликования: 03.06.2022
Страница №23 из 25:
Увеличить