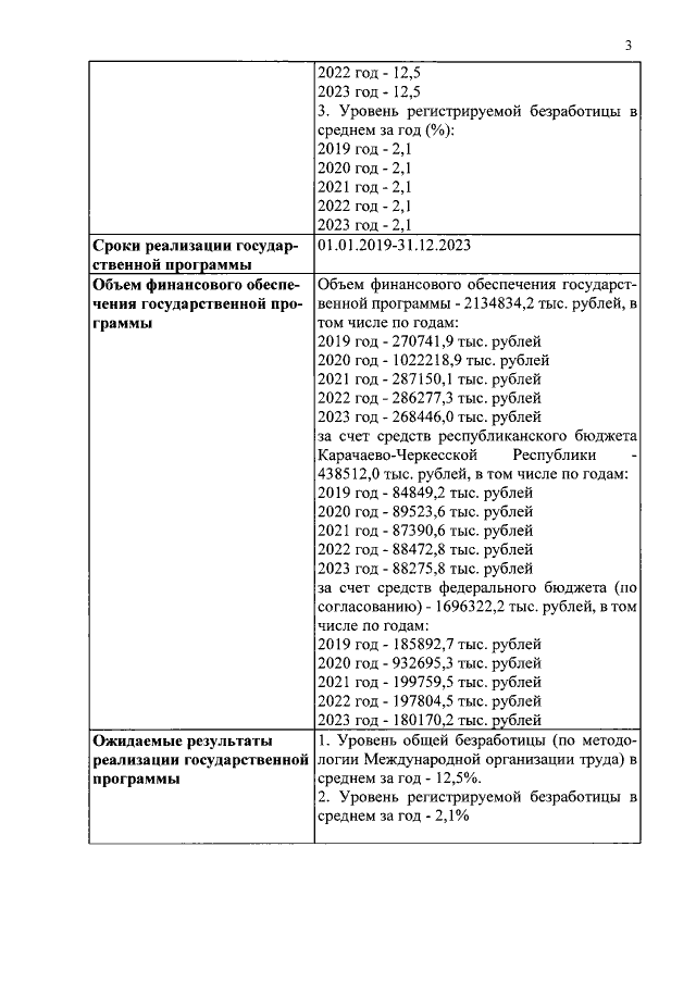
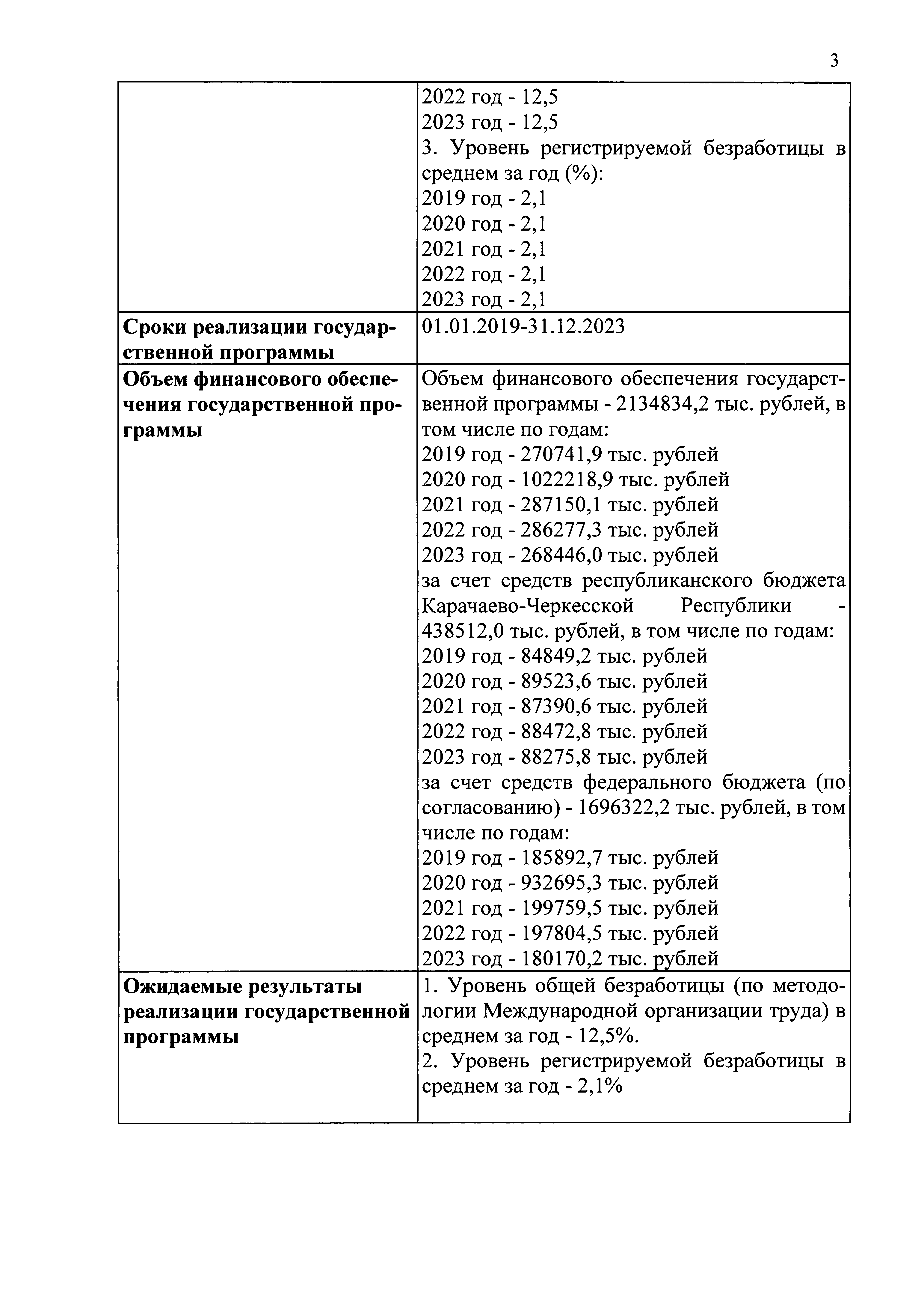
Постановление Правительства Карачаево-Черкесской Республики от 14.04.2022 № 119
"О внесении изменений в постановление Правительства Карачаево-Черкесской Республики от 24.01.2019 № 28 "Об утверждении государственной программы "Содействие занятости населения Карачаево-Черкесской Республики"
"О внесении изменений в постановление Правительства Карачаево-Черкесской Республики от 24.01.2019 № 28 "Об утверждении государственной программы "Содействие занятости населения Карачаево-Черкесской Республики"
Номер опубликования: 0900202204200003
Дата опубликования:
20.04.2022
