Официальное опубликование правовых актов
ОФИЦИАЛЬНОЕ ОПУБЛИКОВАНИЕ
Постановление Правительства Карачаево-Черкесской Республики от 08.06.2021 № 118
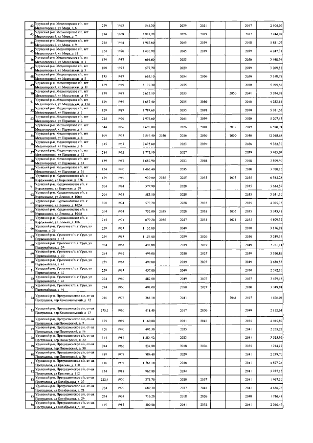
"О внесении изменений в постановление Правительства Карачаево-Черкесской Республики от 31.03.2014 № 76 "Об утверждении республиканской программы "Капитальный ремонт общего имущества в многоквартирных домах на территории Карачаево-Черкесской Республики на 2014-2044 годы"
Номер опубликования: 0900202106150001
Дата опубликования: 15.06.2021
Страница №28 из 31:
Увеличить