Официальное опубликование правовых актов
ОФИЦИАЛЬНОЕ ОПУБЛИКОВАНИЕ
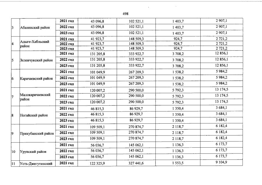
Закон Карачаево-Черкесской Республики от 29.12.2020 № 113-РЗ
"О республиканском бюджете Карачаево-Черкесской Республики на 2021 год и на плановый период 2022 и 2023 годов"
Номер опубликования: 0900202012290015
Дата опубликования: 29.12.2020
Страница №498 из 512:
Увеличить