Официальное опубликование правовых актов
ОФИЦИАЛЬНОЕ ОПУБЛИКОВАНИЕ
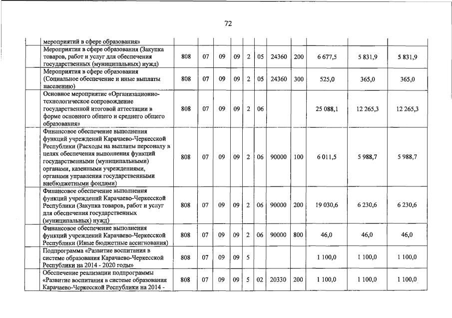
Закон Карачаево-Черкесской Республики от 29.12.2018 № 90-РЗ
"О внесении изменений в Закон Карачаево-Черкесской Республики "О республиканском бюджете Карачаево-Черкесской Республики на 2018 год и на плановый период 2019 и 2020 годов"
Номер опубликования: 0900201812310002
Дата опубликования: 31.12.2018
Страница №72 из 316:
Увеличить