Официальное опубликование правовых актов
ОФИЦИАЛЬНОЕ ОПУБЛИКОВАНИЕ
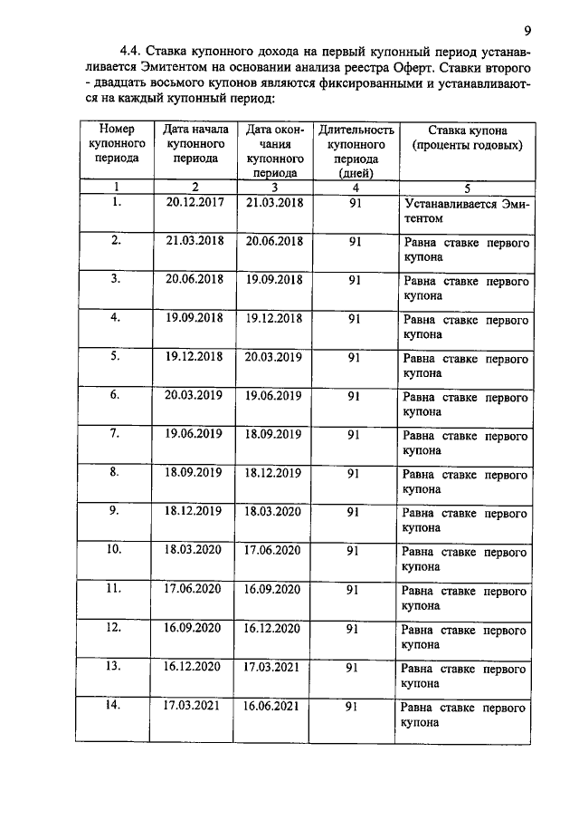
Постановление Правительства Карачаево-Черкесской Республики от 08.12.2017 № 333
"Об утверждении Решения об эмиссии выпуска государственных облигаций Карачаево-Черкесской Республики 2017 года в форме документарных ценных бумаг на предъявителя с фиксированным купонным доходом и амортизацией долга"
Номер опубликования: 0900201712140001
Дата опубликования: 14.12.2017
Страница №11 из 21:
Увеличить