Официальное опубликование правовых актов
ОФИЦИАЛЬНОЕ ОПУБЛИКОВАНИЕ
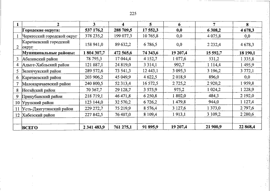
Закон Карачаево-Черкесской Республики от 01.07.2016 № 41-РЗ
"Об исполнении республиканского бюджета Карачаево-Черкесской Республики за 2015 год"
Номер опубликования: 0900201607040014
Дата опубликования: 04.07.2016
Страница №225 из 235:
Увеличить