Официальное опубликование правовых актов
ОФИЦИАЛЬНОЕ ОПУБЛИКОВАНИЕ
Постановление Правительства Карачаево-Черкесской Республики от 28.04.2016 № 106
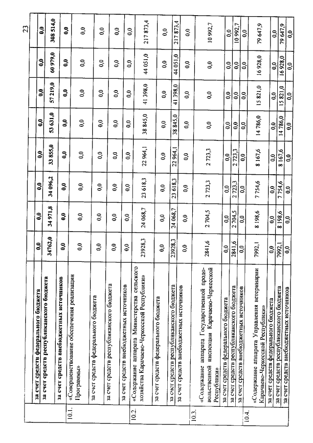
"О внесении изменений в постановление Правительства Карачаево-Черкесской Республики от 31.10.2013 № 358 "О государственной программе "Развитие сельского хозяйства Карачаево-Черкесской Республики до 2020 года"
Номер опубликования: 0900201604290001
Дата опубликования: 29.04.2016
Страница №60 из 61:
Увеличить