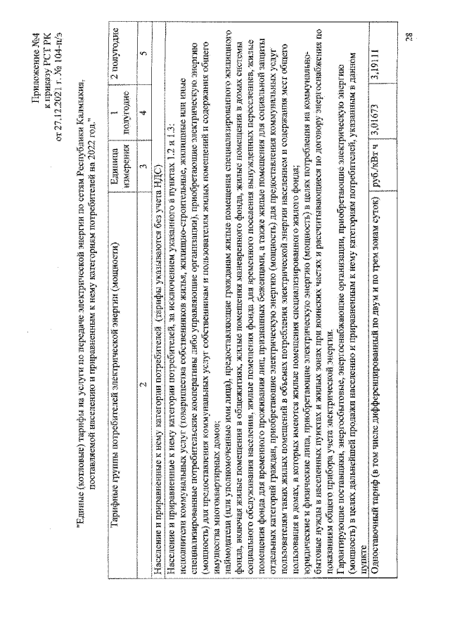
Приказ Региональной службы по тарифам Республики Калмыкия от 27.12.2021 № 104-п/э
"Об утверждении единых (котловых) тарифов на услуги по передаче электрической энергии по электрическим сетям, принадлежащим на праве собственности или ином законном основании территориальным сетевым организациям, оказываемые потребителям, не относящимся к населению и приравненным к нему категориям потребителей Республики Калмыкия, на 2022 год; единых (котловых) тарифов на услуги по передаче электрической энергии по электрическим сетям, принадлежащим на праве собственности или ином законном основании территориальным сетевым организациям, оказываемые населению и приравненным к нему категориям потребителей Республики Калмыкия на 2022 г."
"Об утверждении единых (котловых) тарифов на услуги по передаче электрической энергии по электрическим сетям, принадлежащим на праве собственности или ином законном основании территориальным сетевым организациям, оказываемые потребителям, не относящимся к населению и приравненным к нему категориям потребителей Республики Калмыкия, на 2022 год; единых (котловых) тарифов на услуги по передаче электрической энергии по электрическим сетям, принадлежащим на праве собственности или ином законном основании территориальным сетевым организациям, оказываемые населению и приравненным к нему категориям потребителей Республики Калмыкия на 2022 г."
Номер опубликования: 0801202112300005
Дата опубликования:
30.12.2021
