Официальное опубликование правовых актов
ОФИЦИАЛЬНОЕ ОПУБЛИКОВАНИЕ
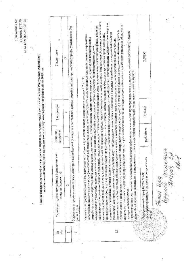
Приказ Региональной службы по тарифам Республики Калмыкия от 24.12.2018 № 105-п/э
"Об утверждении единых (котловых) тарифов на услуги по передаче электрической энергии по сетям Республики Калмыкия, единых (котловых) тарифов на услуги по передаче электрической энергии по сетям Республики Калмыкия для населения и приравненных к нему категорий потребителей на 2019 г."
Номер опубликования: 0801201812290007
Дата опубликования: 29.12.2018
Страница №13 из 18:
Увеличить