Официальное опубликование правовых актов
ОФИЦИАЛЬНОЕ ОПУБЛИКОВАНИЕ
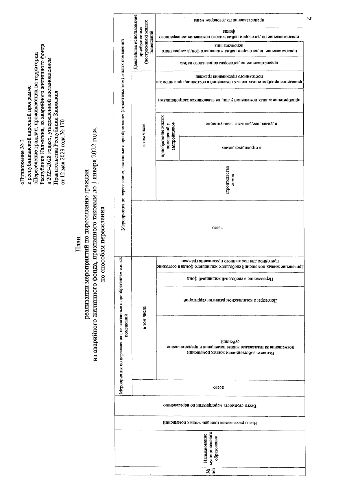
Постановление Правительства Республики Калмыкия от 07.03.2025 № 67
"О внесении изменений в республиканскую адресную программу "Переселение граждан, проживающих на территории Республики Калмыкия, из аварийного жилищного фонда в 2023 - 2028 гг.", утвержденную постановлением Правительства Республики Калмыкия от 12 мая 2023 г. № 170"
Номер опубликования: 0800202503110002
Дата опубликования: 11.03.2025
Страница №4 из 10:
Увеличить