Официальное опубликование правовых актов
ОФИЦИАЛЬНОЕ ОПУБЛИКОВАНИЕ
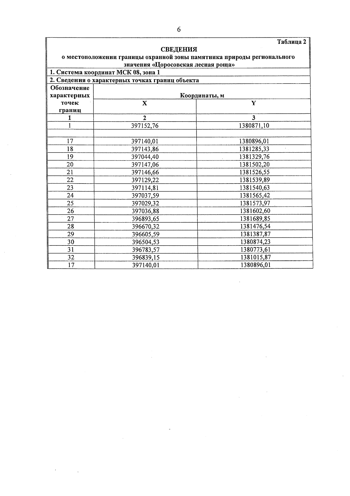
Указ Главы Республики Калмыкия от 27.12.2024 № 315
"Об охранной зоне памятника природы Республики Калмыкия "Цоросовская лесная роща"
Номер опубликования: 0800202412280008
Дата опубликования: 28.12.2024
Страница №6 из 7:
Увеличить