Официальное опубликование правовых актов
ОФИЦИАЛЬНОЕ ОПУБЛИКОВАНИЕ
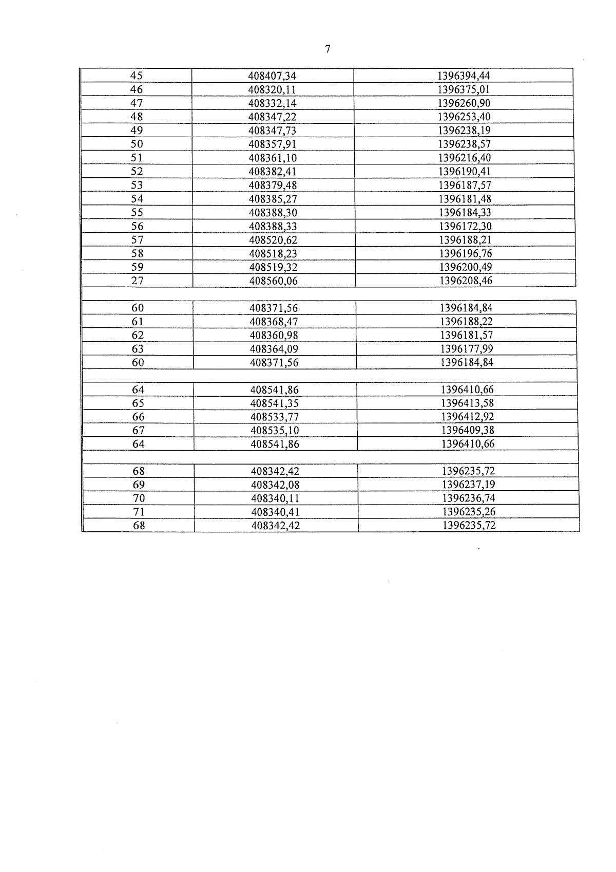
Указ Главы Республики Калмыкия от 27.12.2024 № 313
"Об охранной зоне памятника природы Республики Калмыкия "Дубовая роща", расположенного на территории Эсто-Алтайского сельского муниципального образования Республики Калмыкия"
Номер опубликования: 0800202412280003
Дата опубликования: 28.12.2024
Страница №7 из 8:
Увеличить