Официальное опубликование правовых актов
ОФИЦИАЛЬНОЕ ОПУБЛИКОВАНИЕ
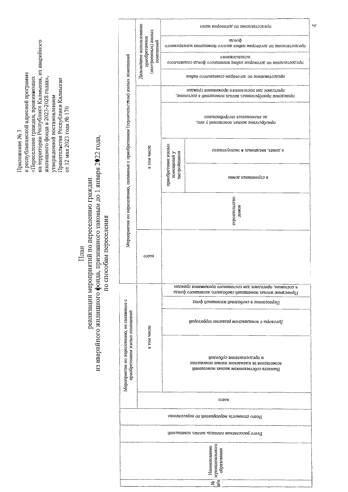
Постановление Правительства Республики Калмыкия от 14.12.2023 № 395
"О внесении изменений в республиканскую адресную программу "Переселение граждан, проживающих на территории Республики Калмыкия, из аварийного жилищного фонда в 2023 - 2028 гг.", утвержденную постановлением Правительства Республики Калмыкия от 12 мая 2023 г. № 170"
Номер опубликования: 0800202312210011
Дата опубликования: 21.12.2023
Страница №4 из 10:
Увеличить