Официальное опубликование правовых актов
ОФИЦИАЛЬНОЕ ОПУБЛИКОВАНИЕ
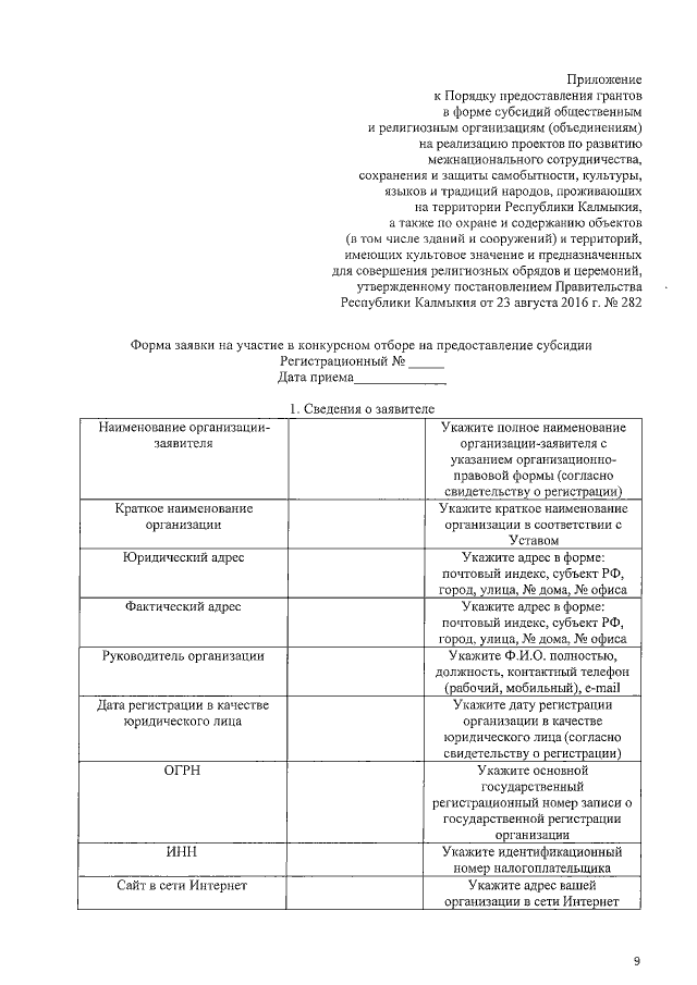
Постановление Правительства Республики Калмыкия от 23.08.2016 № 282
"Об утверждении Порядка предоставления грантов в форме субсидий общественным и религиозным организациям (объединениям) на реализацию проектов по развитию межнационального сотрудничества, сохранения и защиты самобытности, культуры, языков и традиций народов, проживающих на территории Республики Калмыкия, а также по охране и содержанию объектов (в том числе зданий и сооружений) и территорий, имеющих культовое значение и предназначенных для совершения религиозных обрядов и церемоний"
Номер опубликования: 0800201608250002
Дата опубликования: 25.08.2016
Страница №9 из 12:
Увеличить