Официальное опубликование правовых актов
ОФИЦИАЛЬНОЕ ОПУБЛИКОВАНИЕ
Указ Главы Республики Калмыкия от 30.11.2015 № 181
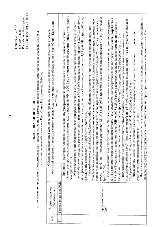
"Об утверждении предельных (максимальных) индексов изменения размера вносимой гражданами платы за коммунальные услуги в муниципальных образованиях Республики Калмыкия на 2016 год"
Номер опубликования: 0800201512020002
Дата опубликования: 02.12.2015
Страница №6 из 64:
Увеличить