Официальное опубликование правовых актов
ОФИЦИАЛЬНОЕ ОПУБЛИКОВАНИЕ
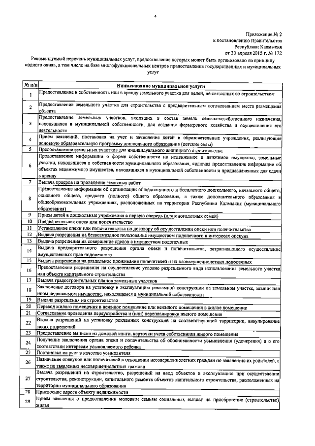
Постановление Правительства Республики Калмыкия от 30.04.2015 № 172
"О внесении изменений в постановление Правительства Республики Калмыкия от 7 марта 2013 г. № 100"
Номер опубликования: 0800201505060005
Дата опубликования: 06.05.2015
Страница №4 из 5:
Увеличить