Официальное опубликование правовых актов
ОФИЦИАЛЬНОЕ ОПУБЛИКОВАНИЕ
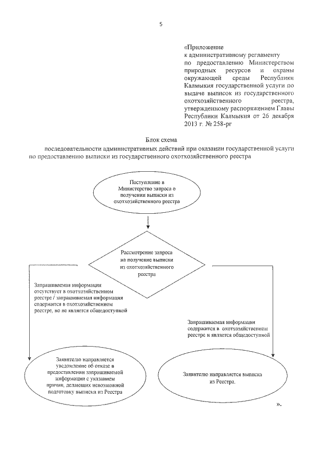
Распоряжение Главы Республики Калмыкия от 10.12.2014 № 235-рг
Номер опубликования: 0800201412150002
Дата опубликования: 15.12.2014
Страница №6 из 6:
Увеличить