Официальное опубликование правовых актов
ОФИЦИАЛЬНОЕ ОПУБЛИКОВАНИЕ
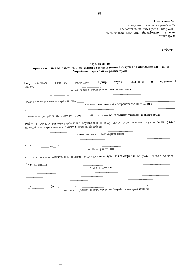
Приказ Министерства труда и социальной защиты Кабардино-Балкарской Республики от 16.12.2019 № 379-П
"Об утверждении административных регламентов Министерства труда и социальной защиты Кабардино-Балкарской Республики в сфере занятости населения"
Номер опубликования: 0701201912180002
Дата опубликования: 18.12.2019
Страница №265 из 333:
Увеличить