Официальное опубликование правовых актов
ОФИЦИАЛЬНОЕ ОПУБЛИКОВАНИЕ
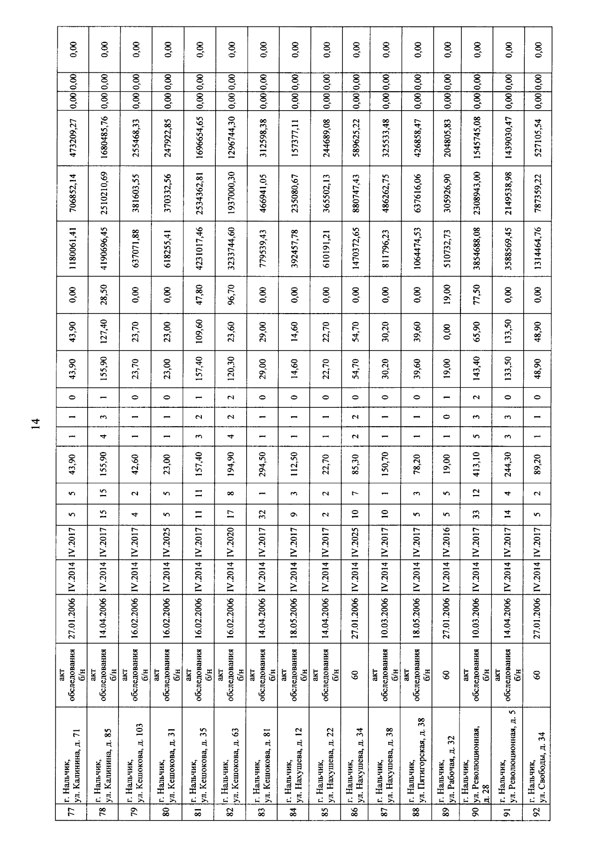
Постановление Правительства Кабардино-Балкарской Республики от 30.01.2026 № 6-ПП
"О внесении изменений в республиканскую адресную программу "Переселение граждан из аварийного жилищного фонда в Кабардино-Балкарской Республике в 2013 — 2017 годах"
Номер опубликования: 0700202602050004
Дата опубликования: 05.02.2026
Страница №15 из 38:
Увеличить