Постановление Правительства Кабардино-Балкарской Республики от 29.09.2023 № 209-ПП
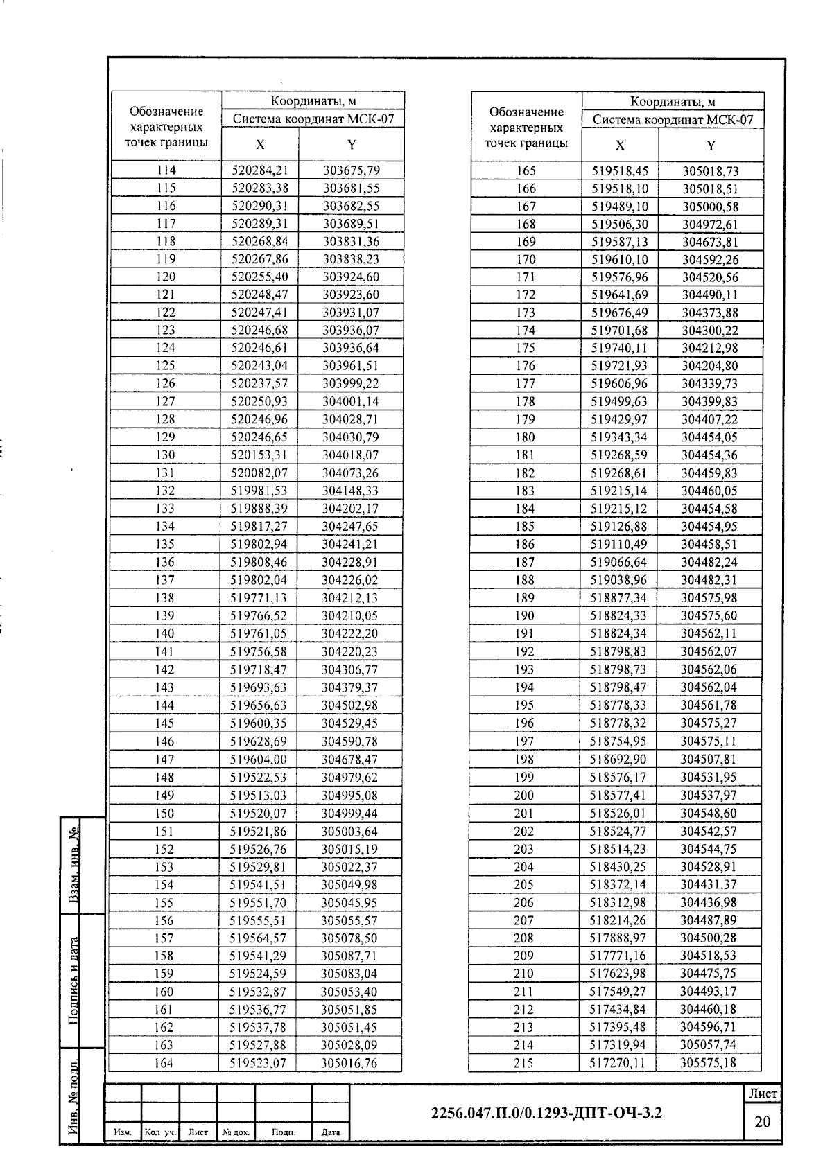
"Об утверждении проекта планировки территории и проекта межевания территории для размещения линейного объекта регионального значения "Газопровод-связка распределительный между ГРС Майский и ГРС Новоивановка Кабардино-Балкарской Республики"
"Об утверждении проекта планировки территории и проекта межевания территории для размещения линейного объекта регионального значения "Газопровод-связка распределительный между ГРС Майский и ГРС Новоивановка Кабардино-Балкарской Республики"
Номер опубликования: 0700202310050004
Дата опубликования:
05.10.2023
