Официальное опубликование правовых актов
ОФИЦИАЛЬНОЕ ОПУБЛИКОВАНИЕ
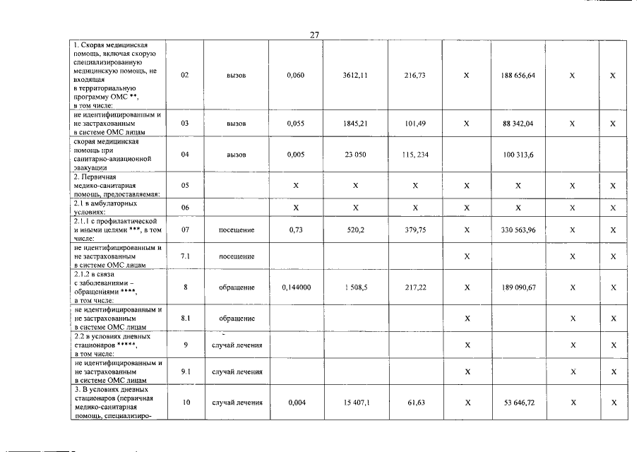
Постановление Правительства Кабардино-Балкарской Республики от 02.05.2023 № 79-ПП
"О внесении изменений в Программу государственных гарантий бесплатного оказания гражданам медицинской помощи в Кабардино-Балкарской Республике на 2023 год и на плановый период 2024 и 2025 годов"
Номер опубликования: 0700202305030012
Дата опубликования: 03.05.2023
Страница №28 из 49:
Увеличить