Официальное опубликование правовых актов
ОФИЦИАЛЬНОЕ ОПУБЛИКОВАНИЕ
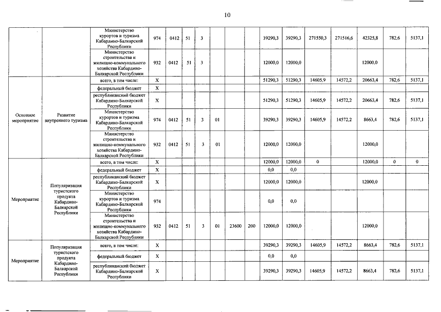
Постановление Правительства Кабардино-Балкарской Республики от 15.03.2023 № 46-ПП
"О внесении изменений в государственную программу Кабардино-Балкарской Республики "Развитие туристско-рекреационного комплекса Кабардино-Балкарской Республики"
Номер опубликования: 0700202303160004
Дата опубликования: 16.03.2023
Страница №11 из 18:
Увеличить