Официальное опубликование правовых актов
ОФИЦИАЛЬНОЕ ОПУБЛИКОВАНИЕ
Постановление Правительства Кабардино-Балкарской Республики от 25.01.2023 № 8-ПП
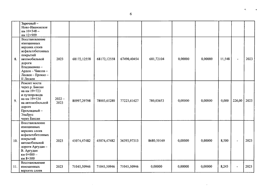
"О распределении бюджетных ассигнований дорожного фонда Кабардино-Балкарской Республики на 2023-2025 годы по направлениям расходов"
Номер опубликования: 0700202301270002
Дата опубликования: 27.01.2023
Страница №14 из 20:
Увеличить