Официальное опубликование правовых актов
ОФИЦИАЛЬНОЕ ОПУБЛИКОВАНИЕ
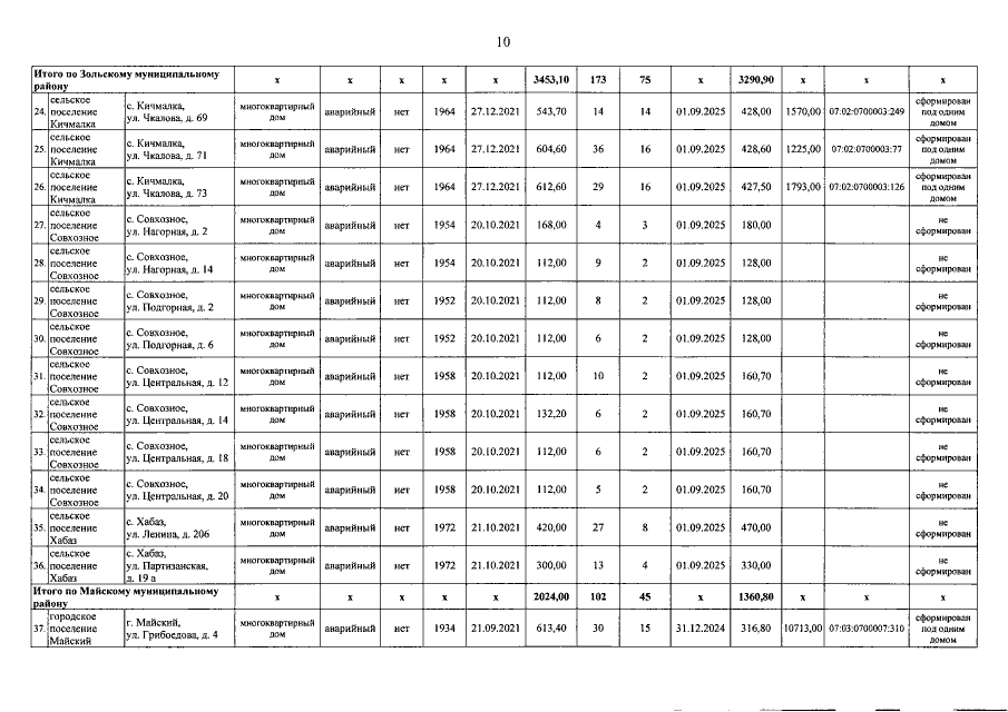
Постановление Правительства Кабардино-Балкарской Республики от 18.10.2022 № 227-ПП
"О внесении изменений в республиканскую адресную программу "Переселение граждан из аварийного жилищного фонда на территории Кабардино-Балкарской Республики в 2022 - 2025 годах"
Номер опубликования: 0700202210190002
Дата опубликования: 19.10.2022
Страница №11 из 19:
Увеличить