Официальное опубликование правовых актов
ОФИЦИАЛЬНОЕ ОПУБЛИКОВАНИЕ
Постановление Правительства Кабардино-Балкарской Республики от 06.10.2022 № 219-ПП
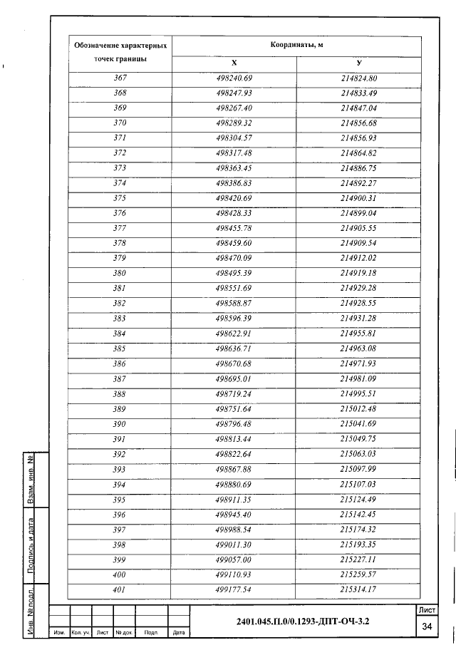
"Об утверждении проекта планировки территории и проекта межевания территории для размещения линейного объекта регионального значения "Газопровод межпоселковый от ГРС "Тырныауз" до рудника "Молибден" в г.п. Тырныауз Эльбрусского района Кабардино-Балкарской Республики"
Номер опубликования: 0700202210100001
Дата опубликования: 10.10.2022
Страница №131 из 134:
Увеличить