Официальное опубликование правовых актов
ОФИЦИАЛЬНОЕ ОПУБЛИКОВАНИЕ
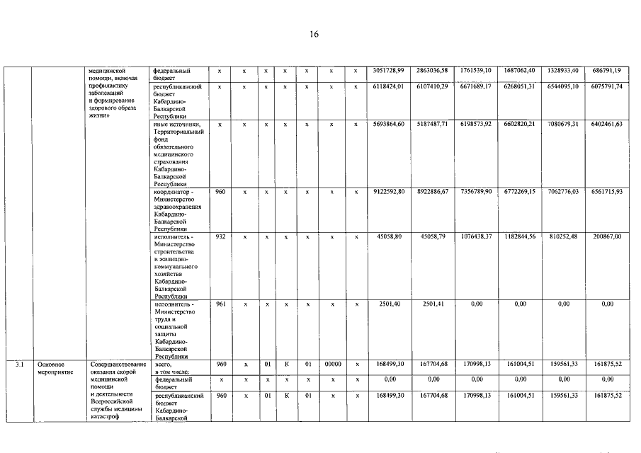
Постановление Правительства Кабардино-Балкарской Республики от 20.05.2022 № 117-ПП
"О внесении изменений в государственную программу Кабардино-Балкарской Республики "Развитие здравоохранения в Кабардино-Балкарской Республике"
Номер опубликования: 0700202205250003
Дата опубликования: 25.05.2022
Страница №17 из 38:
Увеличить