Официальное опубликование правовых актов
ОФИЦИАЛЬНОЕ ОПУБЛИКОВАНИЕ
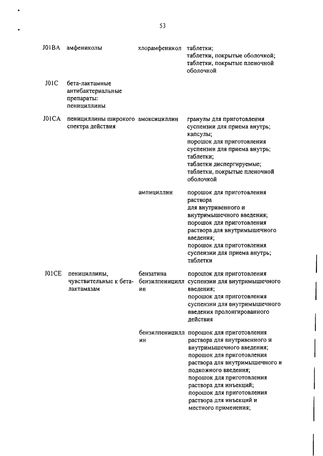
Постановление Правительства Кабардино-Балкарской Республики от 26.04.2021 № 91-ПП
"О внесении изменений в Программу государственных гарантий бесплатного оказания гражданам медицинской помощи в Кабардино-Балкарской Республике на 2021 год и на плановый период 2022 и 2023 годов"
Номер опубликования: 0700202104290005
Дата опубликования: 29.04.2021
Страница №54 из 116:
Увеличить