Официальное опубликование правовых актов
ОФИЦИАЛЬНОЕ ОПУБЛИКОВАНИЕ
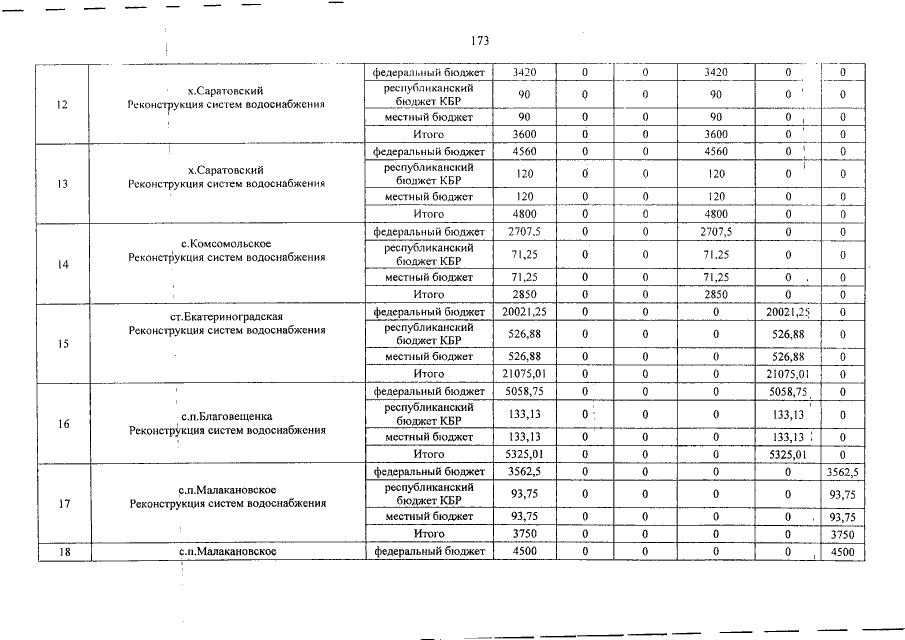
Постановление Правительства Кабардино-Балкарской Республики от 31.08.2020 № 197-ПП
"О Комплексной программе модернизации объектов коммунальной инфраструктуры Кабардино-Балкарской Республики на 2020-2024 годы"
Номер опубликования: 0700202009070011
Дата опубликования: 07.09.2020
Страница №174 из 205:
Увеличить