Официальное опубликование правовых актов
ОФИЦИАЛЬНОЕ ОПУБЛИКОВАНИЕ
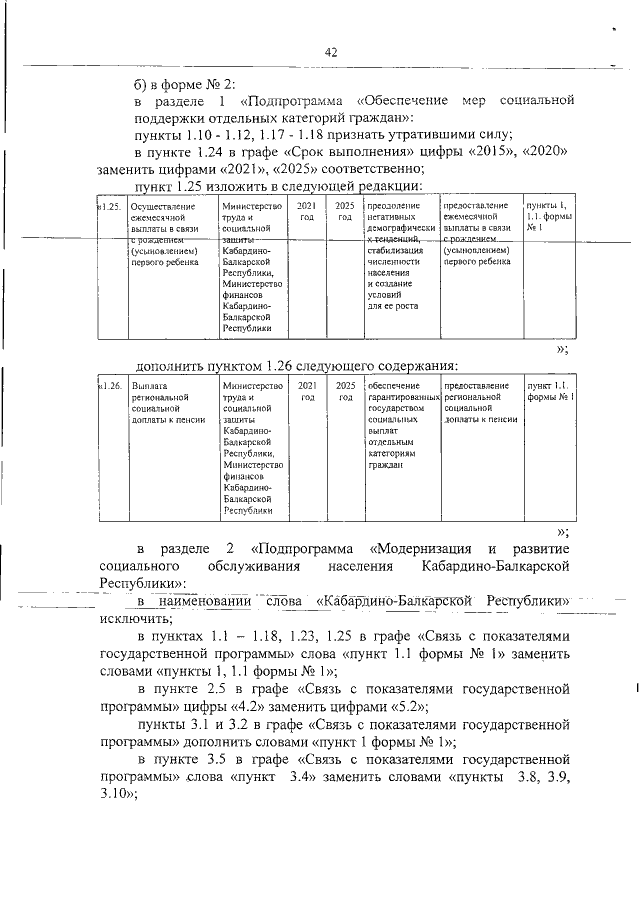
Постановление Правительства Кабардино-Балкарской Республики от 15.05.2020 № 106-ПП
"О внесении изменений в некоторые государственные программы Кабардино-Балкарской Республики"
Номер опубликования: 0700202005200003
Дата опубликования: 20.05.2020
Страница №43 из 59:
Увеличить