Официальное опубликование правовых актов
ОФИЦИАЛЬНОЕ ОПУБЛИКОВАНИЕ
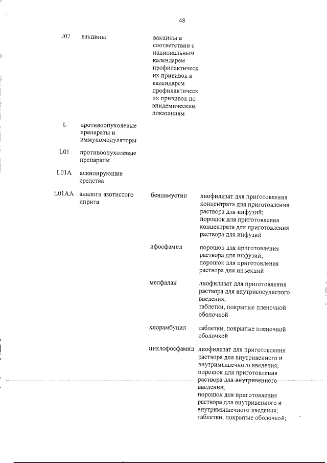
Постановление Правительства Кабардино-Балкарской Республики от 30.12.2019 № 257-ПП
"О Программе государственных гарантий бесплатного оказания гражданам медицинской помощи в Кабардино-Балкарской Республике на 2020 год и на плановый период 2021 и 2022 годов"
Номер опубликования: 0700201912310016
Дата опубликования: 31.12.2019
Страница №147 из 277:
Увеличить