Официальное опубликование правовых актов
ОФИЦИАЛЬНОЕ ОПУБЛИКОВАНИЕ
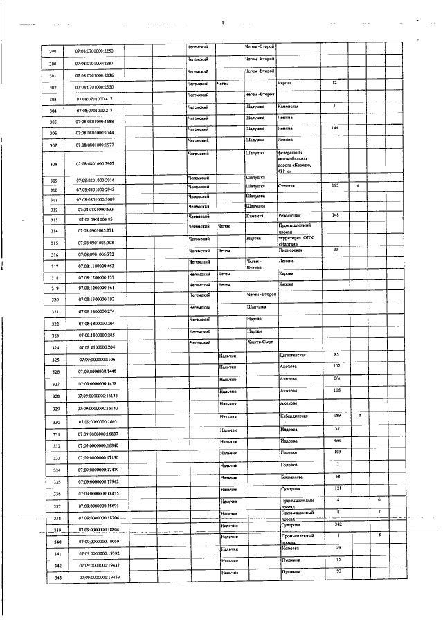
Постановление Правительства Кабардино-Балкарской Республики от 26.12.2019 № 243-ПП
"Об утверждении перечня объектов недвижимого имущества, в отношении которых в 2020 году налоговая база определяется исходя из кадастровой стоимости"
Номер опубликования: 0700201912300007
Дата опубликования: 30.12.2019
Страница №9 из 26:
Увеличить