Официальное опубликование правовых актов
ОФИЦИАЛЬНОЕ ОПУБЛИКОВАНИЕ
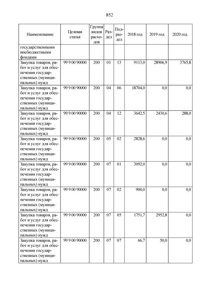
Закон Кабардино-Балкарской Республики от 29.12.2018 № 52-РЗ
"О внесении изменений в Закон Кабардино-Балкарской Республики "О республиканском бюджете Кабардино-Балкарской Республики на 2018 год и на плановый период 2019 и 2020 годов"
Номер опубликования: 0700201812310005
Дата опубликования: 31.12.2018
Страница №852 из 929:
Увеличить